A venit comunicat de la Guvern:
”Harta circumscripțiilor uninominale, prezentată spre aprobare Guvernului
Comisia națională pentru constituirea circumscripțiilor uninominale permanente a prezentat Guvernului spre aprobare lista circumscripțiilor uninominale. Conform hărții finale, care cuprinde în total 51 de circumscripții, 48 vor fi constituite pe teritoriul Republicii Moldova, iar 3 în afara țării.
Astfel, în municipiul Chișinău au fost formate 11 circumscripții, în municipiul Bălți – 2 și pe teritoriul Unității Teritorial Administrative Găgăuzia la fel 2 circumscripții. Totodată, din cele 48 de circumscripții din țară, 2 vor fi create pentru teritoriul din stânga Nistrului: una pentru localitățile Camenca, Rîbnița, Dubăsari, Grigoriopol, iar cealaltă pentru Slobozia, municipiul Tiraspol și Tighina.
Pentru reprezentarea teritoriilor din afara țării unde se află cetățeni moldoveni au fost constituite 3 circumscripții uninominale: o circumscripție în Est de Republica Moldova, o circumscripție în Vest de Republica Moldova și una pentru Statele Unite ale Americii și Canada.
Conform prevederilor articolului 74 din Codul Electoral al Republicii Moldova, alegerile parlamentare se organizează în baza unei circumscripţii naţionale, care cuprinde întreg teritoriul Republicii Moldova şi secţiile de votare din străinătate, precum şi în baza a 51 de circumscripţii uninominale, inclusiv constituite pentru localităţile din stânga Nistrului şi peste hotare.
Circumscripţiile uninominale se aprobă de Executiv în baza deciziei unei comisii independente, a cărei componenţă este stabilită prin hotărâre de Guvern.”
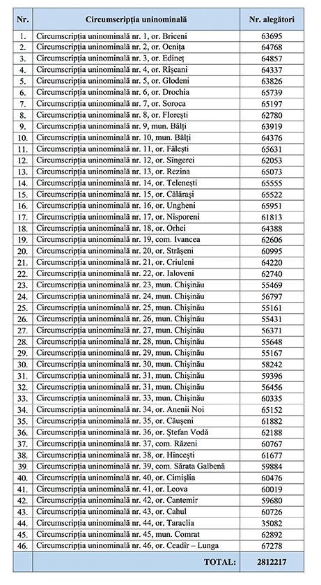
Iată nr de alegători în prezidențiale:

Circumscripțiile:

Amplasarea lor pe hartă:

Și aparte municipiul Chișinău:

 
   







